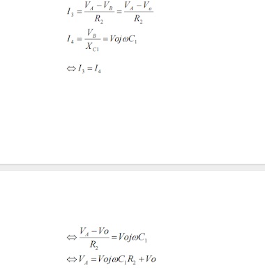
Rangkain LPF -40 dBUntuk menurunkan rumus ACL –nya maka tentukan dahulu tegangan di titikA dan tegangan di titik B. Dimana ACL dibuat menjadi dan nilai a dibuat menjadi sama dengan satu.Langkah pertama, misalkan memakai op-amp ideal maka Ed=0 sehinggaVo = VB.Gunakan hukum khirchoff arus untuk mencari tegangan di titik A, dimana:I3 = I4
Jadi, untuk membuat grafik ACL vs w, lakukan substitusi rumus wc padarumus ACL menjadi seperti berikut;
Analisa prinsip kerja dari LPF -40 db berdasarkan tegangan input, ouput, frekuensi cutt-of, dan gelombang hasil percobaan
Jawab :
Prinsip kerja dari Low-Pass Filter (LPF) berdasarkan tegangan input, tegangan output, frekuensi cutoff (Fc), dan hasil gelombang dari percobaan.
Tegangan Input (Vin): Vin adalah sinyal yang akan difilter oleh LPF dan dapat terdiri dari berbagai frekuensi. LPF dirancang untuk mengizinkan sinyal dengan frekuensi rendah untuk melewati tanpa banyak perubahan.
Tegangan Output (Vout): Vout adalah sinyal keluaran LPF setelah melalui proses penyaringan. LPF berfungsi melewati komponen frekuensi rendah dari sinyal input dengan amplitudo yang relatif konstan, sementara komponen frekuensi tinggi dihilangkan atau diattenuasi. Akibatnya, Vout menjadi didominasi oleh komponen frekuensi rendah.
Frekuensi Cutoff (Fc): Fc adalah frekuensi pada titik di mana respons LPF mulai mengurangi amplitudo sinyal secara signifikan. Di bawah Fc, sinyal melewati LPF dengan sedikit penurunan amplitudo, sementara di atas Fc, amplitudo sinyal akan turun secara tajam. Fc dapat disesuaikan dan menentukan batasan frekuensi sinyal yang dapat dilewatkan atau diblokir oleh LPF.
Gelombang Hasil Percobaan: Dari Grafik gelombang hasil percobaan LPF mencerminkan perubahan sinyal input setelah melewati LPF. Jika frekuensi sinyal input berada di bawah Fc, maka sinyal output akan hampir identik dengan input, dengan sedikit penurunan amplitudo akibat kehilangan energi selama proses penyaringan. Namun, jika frekuensi input berada di atas Fc, sinyal output akan mengalami penurunan amplitudo yang signifikan, meningkat seiring dengan kenaikan frekuensi.
- Data Perhitungan


.png)

.png)
.png)
.png)
.png)
.png)
.png)
.png)

Tidak ada komentar:
Posting Komentar